|
Для поддержания красоты и молодости кожи, помимо сохранения упругости,
огромное значение имеет уровень ее влажности.
ГИАЛУРОН 100. Экстракт гиалуроновой кислоты 100% |
Экстракт
гиалуроновой кислоты (Hyaluronic Acid Extract)-
это мукополисахарид, входящий в состав
кожи человека. Молекулы гиалуроновой
кислоты обладают разнообразными
свойствами, одно из которых это высокая
гидрофильность и способность
удерживать большое количество влаги,
что является незаменимым в процедуре
восстановления увядающей кожи и не
только. Общеизвестно, в коже младенцев
уровень гиалуроновой кислоты очень
высок, но с годами содержание данного
компонента снижается, что приводит к
нарушению функции кожного покрова (потеря
эластичности, истощение кожи, её
хрупкость). В косметологии клеточный
экстракт гиалуроновой кислоты
используется как натуральный
увлажнитель. Экстракт способен
увлажнить кожу в верхних слоях и
заметно улучшить её. Гиалуроновая
кислота превосходно распределяется по
всей поверхности кожи, образуя легкую
пленку, "дополнительной влажности",
которая помогает снизить испарения
воды с поверхности. При применении
гиалуроной кислоты кожа выглядит более
мягкой, гладкой и нежной. И это не
просто внешний вид эффект, характерный
для большинства эмолентов. Это ещё и
гарантированная влажная среда ,
которую создаёт Гиалуроновая кислота у
поверхности кожи, тем самым уменьшает
испарение воды через роговой слой кожи.
Активизирует процессы регенерации,
способствует быстрому безрубцовому
заживлению микротравм кожи.
Восстанавливая нормальный водный
баланс кожи, улучшает её тонус и
упругость, предупреждает появление
морщин. Используется для интенсивного
увлажнения кожи любого типа,
профилактики старения, при лечении
акне и пост-акне.
Цена:

|
| | | | | Состав:
Экстракт гиалуроновой
кислоты 100%
Применение ГИАЛУРОН 100:
Максимальный эффект достигается при одновременном использовании с экстрактом плаценты, коллагеном и эластином. Более глубокое проникновение, гелеобразной экстракт-сыворотки, достигается благодаря процедуре биоревитализации, которую теперь успешно можно провести в домашних условиях (без инъекционным способом). Либо наносите экстракт под крем соответствующий типу Вашей кожи. Применяйте утром и/или вечером ежедневно на чистую кожу. Распределяется на коже, по массажным линиям лица.
Наименнование по классификации INCI:
Hyaluronic acid
Другие наименнования:
Hyaluronan, Sodium Hyaluronate, гиалуронат натрия, гиалурон 100
Гиалуроновая кислота - это общее название смеси гликопротеинов, состав которой колеблется и зависит от источника и технологии получения конечного продукта.
Структура:
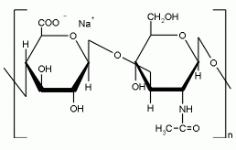
Гиалуроновая кислота представляет собой полимер, состоящий из остатков D-глюкуроновой кислоты и D-N-ацетилглюкозамина, соединённых поочерёдно β-1,4- и β-1,3-гликозидными связями. Молекула гиалуроновой кислоты может содержать до 25 000 таких дисахаридных звеньев. Природная гиалуроновая кислота имеет молекулярную массу от 5 000 до 20 000 000 Да.
Свойства:
(Сходными свойствами обладают натриевая и калиевая соли гиалуроновой кислоты)
Гиалуроновая кислота является естественным компонентом кожи человека. В клетке она поддерживает водный баланс, и в здоровой, молодой коже, как правило, не возникает проблем с её выработкой. С возрастом, а в наших экологических условиях и пораньше, гиалуроновой кислоты вырабатывается значительно меньше, а разрушается – больше, поэтому её очень часто применяют в косметологии.
После применения гиалуроновой кислоты кожа выглядит более мягкой, гладкой и нежной.
Гиалуроновая кислота имеет высокие увлажняющие свойства, формирует непрерывную увлажняющую пленку, которая обеспечивает длительное увлажнение, предупреждает потерю воды, стабилизирует структуру кожи, не нарушая газообмен с окружающей средой.
Раствор гиалуроновой кислоты хорошо распределяется по всей поверхности кожи, образуя легкую пленку, которая активно всасывает влагу из воздуха. Это способствует увеличению содержания свободной воды в роговом слое, а также создает эффект "дополнительной влажности", который помогает снизить испарение воды с поверхности кожи.
Полимерная сеть, которую гиалуроновая кислота образует на поверхности кожи, позволяет биологически активным веществам, входящим с состав косметических средств, дольше на ней задерживаться, что повышает вероятность того, что они проникнут в эпидермис.
Гиалуроновая кислота в составе солнцезащитных средств, дневных кремов и декоративной косметики может на время "прикрыть" поврежденный роговой слой, не позволяя коже обезвоживаться, пока идут восстановительные процессы в эпидермисе.
Гиалуроновая кислота способствует регенерации тканей без образования шрамов, делает кожу более мягкой и гладкой. Обладает способностью стимулировать клеточную миграцию и пролиферацию.
Применяется в качестве увлажняющего, защитного и гелеобразующего косметического компонента.
Увлажняющие свойства гиалуроновой кислоты зависят от ее молекулярного веса. Чем выше молекулярный вес, тем лучше формируется непрерывная увлажняющая пленка. При высоком молекулярном весе достаточной может быть концентрация в косметическом средстве всего 0,05 %, т.к. одна молекула гиалуроновой кислоты может удержать до 500 молекул воды, но при этом, имея большой вес, она утрачивает способность проникать вглубь, работая только на поверхности. Это качество нашло применение в медицине при лечении ран. Влажная стерильная среда позволяет клеткам свободно передвигаться и производить необходимые «ремонтные работы». Таким образом, пленка из гиалуроновой кислоты помогает быстрому заживлению кожи без образования рубцов. Это свойство особенно ценно в средствах для лечения угревой сыпи, для ухода за кожей после бритья и принятия солнечных ванн.
Низкомолекулярная гиалуроновая кислота способна проникать вглубь кожи, увляжняя ее изнутри.
Эмульсии на основе гиалуроновой кислоты имеют мягкую и нежную консистенцию, кроме того, они прекрасно совместимы с кожей и никогда не вызывают раздражения и аллегрических реакций.
Область применения:
Гиалуроновую кислота вводят в состав высококачественных увлажняющих кремов, губной помады и бальзамов для губ, антицеллюлитных кремов, гелей для век, лосьонов после загара, противовоспалительных лосьонов, ранозаживляющих и солнцезащитных средств.
Концентрация:
Используется в концентрациях, начиная от 0,01% до 0,5%.
Хранение:
В сухом, тёмном месте, в плотно закрытой упаковке, подальше от сильного света и тепла хранится не менее 3 лет.
Дополнительно:
В природе гиалуроновая кислота содержится в стекловидном теле глаза, суставной жидкости, гребешках молодых петухов-бройлеров, сыворотке млекопитающих, пупочных канатиках новорожденных, акульих шкурах и китовых хрящах.
Впервые она была выделена в 1934 году из стекловидного тела глаза быка и в сороковых годах использовалась для лечения ожогов, обморожений, травматических повреждений кожи.
|
| |
БИОРЕВИТАЛИЗАЦИЯ
ТЕПЕРЬ ВОЗМОЖНА БЕЗ ИНЪЕКЦИЙ
Биоревитализация - восстановление жизненных функций кожи. Это метод внутрикожного (обычно в виде инъекции) введения гелей на основе гиалуроновой кислоты. Предлагаем Вас уникальную возможность биоревитализации в домашних условиях без инъекций. Метод дает возможность проникновению полезных элементов в глубокие слои дермы без инъекций. Введение гиалуроновой кислоты осуществляется посредством одновременного воздействия вибрации, ионов гальванического тока и электрофореза. Проникновение осуществляется более чем на 2 мм, в то время как обычно косметические средства проникают не более чем на 0.1 мм. Глубина проникновения сопоставима с внутрикожными инъекциями. Метод биоревитализации является пролонгированным, т.к. с течением времени после завершения процедур, отмечается выраженное усиление эффекта за счет оптимизации обменных процессов и восстановления межклеточной среды в коже. Более подробно Вы можете ознакомится на странице посвященной Биоревитализации

|

При покупке сертификата скидка 30%
Миостимулятор Эластон +10 мл Гиалурон 100- 6400 руб 4400 руб
Миостимулятор Эластон +20 мл Гиалурон 100- 9500 руб 6700 руб
Миостимулятор Эластон +50 мл Гиалурон 100- 14200 руб 9900 руб
10 мл Гиалурон 100 - 4200 руб 2900 руб
20 мл Гиалурон 100 - 7300 руб 4900 руб
50 мл Гиалурон 100- 12800 руб 8900 руб
плюс
Если Вы хотите сделать подарок к Новому году но затрудняетесь с выбором продукции предлагаем Вам заказать ПОДАРОЧНЫЙ СЕРТИФИКАТ. В течении 1 дня мы доставим СЕРТИФИКАТ по Москве и области. В дальнейшем обладатель СЕРТИФИКАТА сможет выбрать и заказать доставку любых товаров на сумму СЕРТИФИКАТА с учетом скидок действующих в момент покупки сертификата, то есть скидки этого года будут действительны по СЕРТИФИКАТУ в течении всего 2010 года. Сумма сертификата определяется Вами при заказе.
|
| |
Гиалуроновая кислота - кислый мукополисахарид, который действует как связующий и защитный агент основного вещества соединительной ткани. Этот кислый мукополисахарид, в больших количествах содержится в коже человека.
Гиалуроновая кислота была обнаружена в 1934 г.

Вскоре её уникальные свойства были успешно применимы для разработки и производства эффективной косметики. Вся история гиалуроновой кислоты - это история совершенствования методов её выделения и очистки. Дело в том, что качество гиалуроновой кислоты как косметического ингредиента определяется ее молекулярным весом. В зависимости от источника и технологии получения гиалуроновой кислоты как косметического ингредиента определяется ее молекулярным весом. В зависимости от источника и технологии получения гиалуроновой кислоты ее молекулярный вес может варьироваться от 70 до 4000 к Да. Чем длиннее молекулярная цепочка и чем меньше разброс по молекулярному весу, тем лучше формируется полимерная сеть, тем больше вязкость раствора при низких концентрациях и тем большую поверхность кожи можно покрывать непрерывной увлажняющей пленкой.
Этапы выделения включают:
- ферментальное расщепление соединительной ткани,
- специфическое фракционирование,
- очистку,
- первичное экстрагирование,
- осаждение и высушка,
- бактериологический и реологический лабораторный контроль, который дает нам уверенность в качестве продукта.
Физико – химический анализ:
- средней молекулярный вес – 1000 кДа
- Истинная вязкость – 1700 мл/г
- рН (водный) – 6,5+/-1,0
- Влажность ^8 %
- Общий осадок 10% +/-2,5%
- Без запаха
- гидралират прозрачный
- Тяжелые металлы – 0/г
- Внешний вид – гель
- Растворимость в воде – растворим
- Растворимость в органических растворах – не растворим
Микробиологический анализ:
- общие число колоний – меньше 100/г
- дрожжи и плесневые грибки – 0/г
- Esherichia coli – 0/г
- Enterobacteriaceae 0/г
- Pseudomonas aeruginosa 0/г
- Staphylococeu saureus 0/г
Гиалуроновая кислота является естественным компонентом кожи человека, где она играет важную роль в поддержании нормального водного баланса. Различные неблагоприятные факторы внешней среды, такие как УФ облучение и химические загрязнения, могут вызвать разрушение гиалуроновой кислоты в кожи человека. Кроме того, синтез гиалуроновой кислоты с возрастом уменьшается.
Гиалуроновая кислота находясь на поверхности кожи, формирует непрерывную тонкую пленку, которая сохраняет естественную влажность кожи, не нарушая газообмен. Она прекрасно совместима с кожей и не вызывает аллергических реакций и раздражения.
Косметика, содержащая гиалуроновую кислоту, смягчает, очень глубоко увлажняет кожу, заметно улучшая ее внешний вид.
В медицине гиалуроновая кислота применяется как очень действенный и быстрый заживитель ран (особенно в ожоговой практике) и в офтальмологии.
Увлажняющие свойства гиалуроновой кислоты зависят от ее молекулярного веса. Чем выше молекулярный вес, тем лучше формируется непрерывная увлажняющая пленка.
Гиалуроновая кислота рекомендована для высококачественных увлажняющих косметических средств. В самостоятельном использовании чистый 100% экстракт гиалуроновой кислоты является превосходным средством для восстановления кожи после различных пилингов, пластических операций во время лечения акне и (постакне). Это самый действенный природный увлажнитель кожи, который помогает синтезу коллагена, что значительно влияет на разглаживание морщин.

|
Для увлажнения, эффекта более мягкой и гладкой кожи:
Гиалуронат натрия (натриевая соль гиалуроновой кислоты) – главная водосодержащая субстанция в коже человека. Стабилизирует структуру кожи и предупреждает потерю воды, образуя на коже непрерывную защитную пленку. Проникает вглубь кожи, обеспечивая не только внешнее, но и внутреннее увлажнение. Способствует регенерации тканей без образования шрамов, делает кожу более мягкой и гладкой.
|
| |
Гиалуроновая кислота в косметике
Гиалуроновая кислота считается одним из самых "приятных" косметических ингредиентов. Это белый порошок, который медленно, но полностью растворяется в воде, образуя вязкий, бесцветный, слегка опалесцирующий гель уже при концентрации 1%. Этот гель может быть сохранен для последующего использования в косметических композициях. Эмульсии на основе гиалуроновой кислоты имеют мягкую и нежную консистенцию, а кроме того, она прекрасно совместима с кожей и никогда не вызывает раздражения и аллергических реакций. Если бы с помощью косметических средств удавалось восполнить дефицит гиалуроновой кислоты непосредственно в дерме, это позволило бы сохранить нормальную гидратацию кожи даже на фоне сниженного кровоснабжения. Однако гиалуроновая кислота, содержащаяся в косметических кремах, не способна проникнуть даже в эпидермис, а тем более достичь дермы. И все же, несмотря на то, что область влияния косметики, содержащей гиалуроновую кислоту (так же, как и любой другой косметики), ограничена роговым слоем, она способна реально увлажнять кожу и заметно улучшать ее внешний вид.
По сравнению с другими распространенными увлажнителями гиалуроновая кислота имеет ряд преимуществ. Она имеет самую высокую гигроскопичность (способность связывать воду) по сравнению с другими распространенными увлажняющими агентами, такими, как глицерин и сорбитол. При этом, в отличие от глицерина, она сохраняет свою активность в сухой атмосфере. Такое свойство можно назвать "эффектом памперса" - поглощенная вода удерживается внутри в виде геля и не испаряется даже при понижении относительной влажности окружающего воздуха. Это ценное качество нашло применение в медицине при лечении ран. Оказывается, для того, чтобы рана заживала без рубца, ее, вопреки распространенному мнению, надо поддерживать в состоянии постоянной влажности. Влажная стерильная среда позволяет клеткам свободно передвигаться и производить необходимые "ремонтные" работы. Гелевая увлажняющая пленка из гиалуроновой кислоты позволяет создавать именно такие условия.
После применения косметики с гиалуроновой кислотой кожа выглядит более мягкой, гладкой и нежной. И это не просто внешний эффект, характерный для большинства эмолентов. Дело в том, что влажная среда, которую создает гиалуроновая кислота у поверхности кожи, уменьшает испарение воды через роговой слой, так как интенсивность испарения зависит от относительной влажности окружающего воздуха. Это весьма существенно, поскольку проницаемость рогового слоя для воды может резко увеличиваться под воздействием УФ-излучения, разрушительного действия поверхностно-активных веществ и загрязнений, окружающих нас повсюду. Гиалуроновая кислота в составе солнцезащитных средств, дневных кремов и декоративной косметики может на время "прикрыть" поврежденный роговой слой, не позволяя коже обезвоживаться, пока идут восстановительные процессы в эпидермисе. Кроме того, полимерная сеть, которую гиалуроновая кислота образует на поверхности кожи, позволяет биологически активным веществам, входящим с состав косметических средств, дольше на ней задерживаться, что повышает вероятность того, что они проникнут в эпидермис.
В отличие от многих биологически активных веществ, гиалуроновая кислота проявляет все свои ценные свойства при весьма низких концентрациях (0.01-0.1%), что позволяет создавать эффективную косметику, цена которой будет устраивать как производителей, так и потребителей. В основном, это относится к гиалуроновой кислоте большого молекулярного веса. В настоящее время гиалуроновая кислота и ее соли входят в состав увлажняющих кремов, губной помады и бальзамов для губ, антицеллюлитных кремов, гелей для век, лосьонов после загара, противовоспалительных лосьонов, ранозаживляющих и солнцезащитных средств.
Гиалуроновая кислота является естественным компонентом кожи человека, где она играет важную роль в поддержании нормального водного баланса. Различные неблагоприятные факторы внешней среды, такие как УФ-облучение и химические загрязнения, могут вызывать разрушение гиалуроновой кислоты. Кроме этого, ее синтез уменьшается с возрастом.
Гиалуроновая кислота, содержащаяся в косметических средствах, находясь на поверхности кожи, формирует непрерывную тонкую пленку, которая сохраняет естественную влажность кожи, не нарушая газообмен. Она прекрасно совместима с кожей и не вызывает аллергических реакций и раздражения.
Косметика, содержащая гиалуроновую кислоту, смягчает, увлажняет и защищает кожу, заметно улучшая ее внешний вид. В медицине гиалуроновая кислота применяется для ускорения заживления ран (особенно в ожоговой практике) и в офтальмологии.
Гиалуроновая кислота рекомендуется для высококачественных увлажняющих кремов и гелей, однако может применяться практически в любой косметической продукции, включая декоративную косметику. |
|